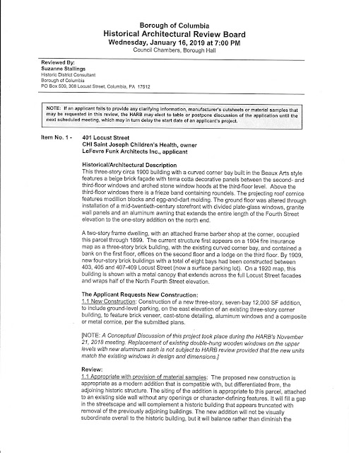
Columbia’s Historical Architectural Review Board approved a proposal for new construction at 401 Locust Street at its January 16, 2019 meeting. Steven Funk of LeFevre Funk Architects Inc. presented a proposal for the construction of a three-story, seven-bay addition to the east elevation of the existing three-story corner building which is owned by CHI St. Joseph Children’s Health. The 12,000 square-foot addition will include ground-level parking. The project was previously discussed before HARB at its November 21, 2018 meeting. The building description and the project request and review are shown below:
CHI St. Joseph Children’s Health posted the following comment about the project on Columbia Spy’s Facebook page:
“Thank you for your interest in our project at 401 Locust Street. As a point of clarification: this project is entirely funded by CHI St. Joseph Children’s Health. There is no funding provided by the Borough to expand the building, to create the St. John Neumann School for Children and Families or to operate the childcare center once it is opened. The school which will open in the spring of 2020 will provide quality and affordable childcare for children and families in Columbia Borough. CHI St. Joseph Children’s Health is happy to answer questions and provide answers about the project as we are able. Earlier articles that outlined the plans for the school and the building expansion were featured on both Columbia Spy and LNP + LancasterOnline. CHI St. Joseph Children’s Health through our Healthy Columbia Project and initiatives such as the St. John Neumann School for Children and Families is making significant investment to respond to community needs and improve the health and wellbeing of individuals and families in Columbia Borough.”






Need to change your headline. HARB is a recommending “Review” board… They have no power to APPROVE anything.
LikeLike
This new building should NOT be allowed to be attached to the historic building!
LikeLike
Please explain why. Is the parking lot better?
LikeLike
I think it looks awesome. Time to move forward. They aren't doing anything to take away from the old Loreto building. I say. Thank you to CHI.
LikeLike
I agree, but lets keep the new building separated from the historic bank!!
LikeLike
is that building going to be tax exempt non profit also. we have to many non profits organizations in town that do not donate any thing to this boro for witch we the tax payers are paying their share
LikeLike
Yep! They said many times if you read their comments. They will not seek tax exemption. This means the 6.5 million they are investing in that property will increase tax revenue for the borough and school district. Great job CHI! They are building it with their own money. Sometimes Columbia doesnt realize when there is a good thing in their midst.
LikeLike
Loreto Building?
LikeLike
Why keep it separated? Historic? Give me a break. It's not a bank anymore.
LikeLike
Amen. Everyone needs to try really hard…to be positive, kind, helpful. If you hate it here so much. Leave.
LikeLike
Thank you CHI. There ARE many of us who truly appreciate everything you're doing for the Borough. Best of luck in all that you do. Thanks.
LikeLike
Look what happen to the R and S building! Its connected to the Rail Road Station! BIG mistake it looks down right none Historic being connected!!
LikeLike
Amen, Council needs to listen to the TAX PAYERS!! Leave it up to the TAX PAYERS on major decisions!!
LikeLike
Looks pretty much the same as it was years ago. If it weren't for R&S it probably would have been knocked down like the Reading station.
LikeLike
Need to change your headline. HARB is a recommending “Review” board… They have no power to APPROVE anything.
LikeLike
This new building should NOT be allowed to be attached to the historic building!
LikeLike
Please explain why. Is the parking lot better?
LikeLike
I think it looks awesome. Time to move forward. They aren't doing anything to take away from the old Loreto building. I say. Thank you to CHI.
LikeLike
I agree, but lets keep the new building separated from the historic bank!!
LikeLike
is that building going to be tax exempt non profit also. we have to many non profits organizations in town that do not donate any thing to this boro for witch we the tax payers are paying their share
LikeLike
Yep! They said many times if you read their comments. They will not seek tax exemption. This means the 6.5 million they are investing in that property will increase tax revenue for the borough and school district. Great job CHI! They are building it with their own money. Sometimes Columbia doesnt realize when there is a good thing in their midst.
LikeLike
Loreto Building?
LikeLike
Why keep it separated? Historic? Give me a break. It's not a bank anymore.
LikeLike
Amen. Everyone needs to try really hard…to be positive, kind, helpful. If you hate it here so much. Leave.
LikeLike
Thank you CHI. There ARE many of us who truly appreciate everything you're doing for the Borough. Best of luck in all that you do. Thanks.
LikeLike
Look what happen to the R and S building! Its connected to the Rail Road Station! BIG mistake it looks down right none Historic being connected!!
LikeLike
Amen, Council needs to listen to the TAX PAYERS!! Leave it up to the TAX PAYERS on major decisions!!
LikeLike
Looks pretty much the same as it was years ago. If it weren't for R&S it probably would have been knocked down like the Reading station.
LikeLike